目 錄
第一部分 區發改委部門概況
一、部門主要職責
二、部門基本情況
第二部分 2020年度部門決算表
一、收入支出決算總表
二、收入決算表
三、支出決算表
四、財政撥款收入支出決算總表
五、一般公共預算財政撥款支出決算表
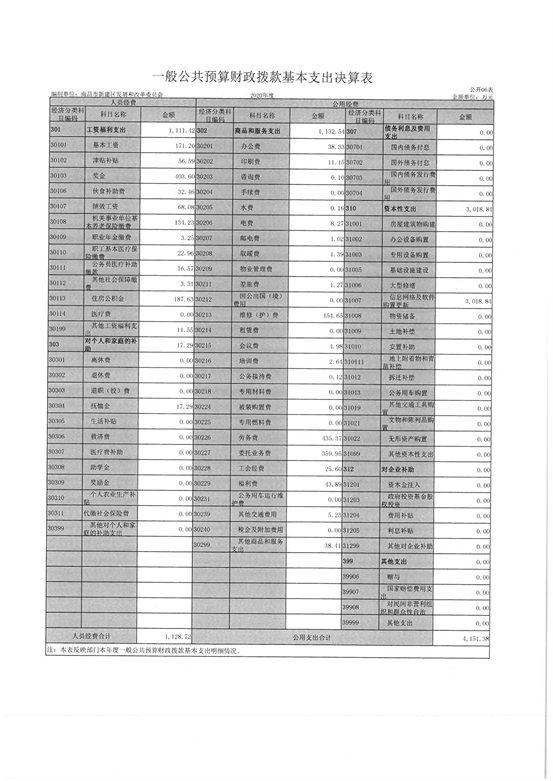
六、一般公共預算財政撥款基本支出決算表
七、一般公共預算財政撥款“三公”經費支出決算表
八、政府性基金預算財政撥款收入支出決算表
九、國有資本經營預算財政撥款支出決算表
十、國有資產占用情況表
第三部分 2020年度部門決算情況說明
一、收入決算情況說明
二、支出決算情況說明
三、財政撥款支出決算情況說明
四、一般公共預算財政撥款基本支出決算情況說明
五、一般公共預算財政撥款“三公”經費支出決算情況說明
六、機關運行經費支出情況說明
七、政府采購支出情況說明
八、國有資產占用情況說明
九、預算績效情況說明
第四部分 名詞解釋
第一部分 南昌市新建區發展和改革委員會概況
一、部門主要職能
(一)研究提出全區國民經濟、社會和城鎮發展戰略,組織編制全區國民經濟和社會發展中長期規劃和年度計劃;指導鄉鎮制訂經濟和社會發展規劃,銜接、平衡各主要行業的行業規劃和城鎮總體規劃,組織編制重大專項規劃,負責對區域經濟、個私民營經濟、服務業的發展政策和經營城鎮政策的綜合協調;組織、協調爭取國家、省、市重大政策支持的相關工作。
(二)做好社會總需求和總供給等重要經濟總量的平衡和重大比例關系的協調;根據國家產業政策和技術政策,提出本區產業發展導向意見,加強各產業間的發展協調,推進產業結構的優化升級和高技術產業的發展;研究擬訂生產力規劃方案及重要布局調整的實施意見,推進城鎮進程,組織協調可持續發展工作。
(三)加強對經濟運行的研究組織,對全區經濟運行進行預測和預警,及時提出調控政策建議;綜合協調財政、信貸等經濟杠桿,運用區直接掌握的投資,國外貸款等經濟手段,促進各項重要經濟社會發展目標的實現。
(四)負責提出全社會固定資產投資總規模、投資結構及重大重點建設項目和為民辦實事項目計劃;審批和上報政府投資建設項目和國家、省、市規定應報批及本區需控制的項目;會同有關部門開展對重大重點項目建設的全過程監督管理、協調服務;參與對全社會資金包括財政預算外資金平衡協調 ;組織研究擬訂政府性投資的重大項目融資方案;負責對全區重大重點項目和為民辦實事項目的財政性建設資金、項目前期經費實行協調平衡、統籌安排。
(五)研究提出全區利用外資和境外投資的發展戰略、參與組織協調全區招商引資工作;負責全口徑外債的總量控制、結構優化和監測工作,;指導和監督國外貸款建設資金的使用;指導和監督政策性貸款的使用方向。
(六)對全區服務業的發展實行統籌規劃、計劃平衡、協調服務,組織制訂相關政策和市場準則,安排重大重點項目;做好全區重要物資、商品供求的總量平衡;會同有關部門提出區級儲備糧、儲備物資的收儲、動用計劃,引導和調控市場。
(七)做好人口與計劃生育、科技、教育、文化、衛生、體育、廣播電視、勞動和社會保障等社會事業及國防經濟建設與整個國民經濟和社會發展的銜接平衡,推進重大科技成果的產業化;研究提出經濟與社會協調發展、相互促進的政策措施,協調社會事業發展的政策和重大問題,推動社會事業產業的發展。
(八)負責全區基本建設項目的初步設計審查,審查上報限額以上建設項目初步設計;監督管理國家、省、市、區政府性投融資項目和重大重點項目的竣工驗收;參與區規劃建設聯合審批。
(九)貫徹執行《價格法》等有關價格法律、法規和國家、省、市的價格方針、政策和法規;研究提出全區性的價格政策、規定;負責國務院和省、市、區人民政府及上級價格主管部門下達的價格改革和調整方案在全區的實施。
(十)執行國家及省、市商品價格分工管理目錄,研究提出全區重要性商品及服務價格調整計劃及方案,經批準后組織實施。建立和實施價格聽證會制度、價格公示制度。
(十一)加強對實行政府定價、政府指導價的商品價格和服務價格以及行政事業收費的管理和監督,提出價格和收費調整的建議,并組織具體實施。
(十二)提出全區價格總水平的控制目錄和相應的調控對策,提出價格調控及相關經濟政策建議;開展價格監測、價格鑒定、價格認證、價格信息服務、價格成本調查和價格研究工作。
(十三)負責價格調節基金征收管理辦法的實施,負責價格調節基金的征收、使用等管理工作。
(十四)依法組織、指導全區價格和收費的監督檢查工作;依法查處價格違法和亂收費案件及不正當價格行為;推行明碼標價制度;開展“物價、計量信得過”活動;指導價格社會監督工作;受理價格舉報投訴工作。
(十五)指導、監督區政府各業務主管部門和各鄉(鎮)政府的價格管理工作;仲裁地方、部門和企業之間重大的價格糾紛及爭議,負責銜接毗鄰地方的價格政策及重要商品和服務價格水平。
(十六)建立全區價格信息網,負責全區價格鑒證、價格認證、涉案物品估計;負責全區農產品、工業品、公用事業成本和流通費用的調查分析和資料反饋工作,提出相應的對策建議。
(十七)負責對各鄉(鎮)的價格管理和價格監督檢查的指導工作。
(十八)承辦區人民政府交辦的其他事項。
二、部門基本情況
納入本套決算編制范圍的獨立核算單位共 7個,分別是南昌市新建區發展和改革委員會、南昌市新建區價格成本調查隊、南昌市新建區經濟信息中心、南昌市新建區鄱湖辦(區重點辦)、南昌市新建區價格認證中心和區市場物價管理檢查所。
本部門2020年年末實有人數 56人,其中在職人員33人,退休人員 23人。
第二部分 2020年度部門決算表










第三部分 2020年度部門決算情況說明
一、收入決算情況說明
本部門2020年度收入總計6272.64萬元,其中年初結轉和結余386.47萬元,較2019年增加211.15萬元,增長120.44%;本年收入合計5886.17萬元,較2019年增加2330萬元,增長65.52%,主要原因是:1.數字新建智慧城區項目啟動;2.贛服通新建區分廳建設;3.政務平臺升級和政府門戶網站二級等保建設項目;4.區高清視頻會議系統和區委黨校高清視頻會議系統項目開展;5.由于新冠疫情,增加了企業防疫物資補助;6.發放了2018年和2019年新增入統獎勵資金;7.支付江西省天然氣管網建設財政貼息及一次性財政補貼;8.下撥了建筑交通公共機構等節能專項基金補助和江西省新動能培育平臺建設專項數字經濟項目補助資金。
本年收入的具體構成為:財政撥款收入6272.64萬元,占100%;事業收入0萬元,占0.00%;經營收入0萬元,占0.00%;其他收入0萬元,占0.00%。
二、支出決算情況說明
本部門2020年度支出總計6272.64萬元,其中本年支出合計5967.41萬元,較2019年增加2622.38萬元,增長78.4%,主要原因是:1.數字新建智慧城區項目啟動;2.贛服通新建區分廳建設;3.政務平臺升級和政府門戶網站二級等保建設項目;4.區高清視頻會議系統和區委黨校高清視頻會議系統項目開展;5.由于新冠疫情,增加了企業防疫物資補助;6.發放了2018年和2019年新增入統獎勵資金;7.支付江西省天然氣管網建設財政貼息及一次性財政補貼;8.下撥了建筑交通公共機構等節能專項基金補助和江西省新動能培育平臺建設專項數字經濟項目補助資金。年末結轉和結余305.22 萬元,較2019年減少81.25萬元,下降21.02%,主要原因是:2020年度我委提高了資金使用效率。
本年支出的具體構成為:基本支出5280.09萬元,占88.56 %;項目支出682.34萬元,占11.44 %;經營支出0萬元,占0.00 %;其他支出(對附屬單位補助支出、上繳上級支出)0 萬元,占0.00 %。
三、財政撥款支出決算情況說明
本部門2020年度財政撥款本年支出年初預算數為1733.67 萬元,決算數為588.17萬元,完成年初預算的239.52%。其中:
(一)一般公共服務支出年初預算數為1620.78萬元,決算數為4659.74萬元,完成年初預算的187.5 %。
(二)社會保障和就業支出年初預算數為47.64萬元,決算數為56.3萬元,完成年初預算的18.18 %。
(三)衛生健康支出年初預算數為34.2萬元,決算數為34.2萬元,完成年初預算的100%。
(四)節能環保支出年初預算數為0萬元,決算數139.32萬元。
(五)城鄉社區支出年初預算數為0萬元,決算數為624.6萬元。
(六)商業服務業等支出年初預算數為0萬元,決算數為37萬元。
(七)住房保障支出年初預算數為31.06萬元,決算數為31.06萬元,完成年初預算的100%。
(八)抗疫特別國債安排的支出年初預算數為0萬元,決算數為4.98萬元。
四、一般公共預算財政撥款基本支出決算情況說明
本部門2020年度一般公共預算財政撥款基本支出4151.38 萬元,其中:
(一)工資福利支出1111.42萬元,較2019年減少82.79萬元,下降6.93%。
(二)商品和服務支出1132.54萬元,較2019年增加728.36萬元,增長180.21%。
(三)對個人和家庭補助支出17.29萬元,較2019年增加6.89萬元,增長66.25%。
(四)資本性支出3018.84萬元,較2019年增加1412.61萬元,增長87.95%。
五、一般公共預算財政撥款“三公”經費支出決算情況說明
本部門2020年度一般公共預算財政撥款“三公”經費支出年初預算數為7萬元,決算數為0.12萬元,完成預算的1.71 %,決算數較2019年減少0.03萬元,下降20 %,其中:
(一)因公出國(境)支出年初預算數為0萬元,決算數為 0萬元,完成預算的0.00 %。
(二)公務接待費支出年初預算數為7萬元,決算數為0.12 萬元,完成預算的1.71 %,決算數較2019年減少0.03萬元,下降20%,決算數較年初預算數增加(減少)的主要原因是:嚴格執行公務接待制度,接待人數減少。全年國內公務接待1批,累計接待13人次。
(三)公務用車購置及運行維護費支出0萬元,其中公務用車購置年初預算數為0萬元,決算數為0萬元,完成預算的0.00 %,決算數較2019年增加(減少)0萬元,增長(下降)0.00%。
六、機關運行經費支出情況說明
本部門2020年度機關運行經費支出4151.38萬元,較上年決算數增加2140.97萬元,增長106.49%,主要原因是:委托業務費增加了237.35萬元,較上年增長了193.6%;信息網絡及軟件購置更新增加了1425.98萬元,較上年增長了89.52%。主要原因是:1.數字新建智慧城區項目啟動;2.贛服通新建區分廳建設;3.政務平臺升級和政府門戶網站二級等保建設項目;4.區高清視頻會議系統和區委黨校高清視頻會議系統項目開展;5.由于新冠疫情,增加了企業防疫物資補助;6.發放了2018年和2019年新增入統獎勵資金;7.支付江西省天然氣管網建設財政貼息及一次性財政補貼;8.下撥了建筑交通公共機構等節能專項基金補助和江西省新動能培育平臺建設專項數字經濟項目補助資金。
七、政府采購支出情況說明
本部門2020年度政府采購支出總額3511.95萬元,其中:政府采購貨物支出3004.02萬元、政府采購服務支出507.93萬元。
八、國有資產占用情況說明。
截止2020年12月31日,本部門國有資產總額為0,國有資產占用情況見公開10表《國有資產占用情況表》。
九、預算績效情況說明
(一)績效管理工作開展情況
根據財政預算管理要求,我部門組織對2020年度一般公共預算項目支出開展績效自評。其中績效自評項目2個,共涉及資金354.4萬元,自評覆蓋率達到25%。占一般公共預算項目支出的51.56%。
從評價情況來看,2020年本單位黨政信息網維護、市頻會議系統維護、網上審批系統平臺維護、項目評審等各項工作均順利開展,達到預期成效,全部在時間節點內完成,沒有超出成本。評價小組通過收集單位數據和資料、實地核查、重點抽查及調查問卷等方式,對照評價方案的評價指標逐一進行評價、打分,評價結論為“優”。南昌新建軍區發展和改革委員會2020年度部門預算績效管理工作良好,基本完成了預算規劃的各項工作,達到了預算所設立的主要目標。
(二)部門決算中項目績效自評結果。
我部門今年在市級部門決算中反映“2020年項目評審專項”績效自評結果。
項目全年預算數為174.4萬元,執行數為174.4萬元,完成預算的100%。
“2020項目評審專項”年初預期目標為:完成年度財政局下達的任務,積極參于基建工程政府采購工作,配合搞好工程采購的招投標工作,做好市區范圍內財政確定的財政投(融)資工程建設項目的跟蹤監督工作。
項目產出效果:以審核費174.4萬元投入,黨中央推出一系列深化改革擴大開放重大舉措、實施一批逆周期宏觀調控政策,為經濟平穩運行提供了政策支撐;我委積極主動參與“大南昌都市圈發展規劃、南昌市攬山入城發展規劃、南昌市開發區改革發展規劃、南昌市現代服務業發展規劃”等規劃修編,將“新建元素”充分吸納到南昌市各專項發展規劃當中,為我區爭得了更有利的發展空間和發展地位。
發現的問題及原因:評審人員緊缺,評審任務重。對項目評審機構的管理力度不夠大,相關制度仍需完善。
下一步改進措施:進一步加強對項目評審機構的管理。
“2020項目評審專項”自評綜述:“2020項目評審專項”自評得分97.5分,客商滿意度大于90%。該項目績效監控符合市財政局要求,定期采集績效運行的信息并進行匯總分析,報財政局對口科室,在成本控制范圍內和時間節點內,超出預期完成工作目標。
第四部分 名詞解釋
(一)財政撥款收入:指省級財政當年撥付的資金。
(二)年初結轉和結余:指以前年度尚未完成、結轉到本年 按有關規定繼續使用的資金。
(三)年末結轉和結余:指本年度或以前年度預算安排、因客觀條件發生變化無法按原計劃實施,需延遲到以后年度按有關規定繼續使用的資金。
(四)基本支出:指為保障機構正常運轉、完成日常工作任務而發生的人員支出和公用支出。
(五)項目支出:指在基本支出之外為完成特定行政任務和事業發展目標所發生的支出。
(六)“三公”經費:納入省級財政預決算管理的 “三公”經費,是指省級部門用財政撥款安排的因公出國(境)費、公務用車購置及運行費和公務接待費。其中,因公出國(境)費反映單位公務出國(境)的國際 旅費、國外城市間交通費、住宿費、伙食費、培訓費、公雜費等支出;公務用車購置及運行費反映單位公務用車車輛購置支出(含車輛購置稅)及租用費、燃料費、 維修費、過路過橋費、保險費、安全獎勵費用等支出;公務接待費反映單位按規定開支的各類公務接待(含外賓接待)支出。
(七)機關運行經費:為保障行政單位(含參照公務員法管理的事業單位)運行用于購買貨物和服務的各項資金,包括辦公及印刷費、郵電費、差旅 費、會議費、福利費、日常維修費、專用材料及一般設備購置費、辦公用房水電費、辦公用房取暖費、辦公用房物業管理費、公務用車運行維護費以及其他費用。





贛公網安備 36012202000137號